במעגל מהדהד סדרת AC, בתהודה,מתח על הקבליכול להיותגדול מאוד, אפילוגבוה בהרבה ממתח המקור.
הנה הסיבה:
בתהודה:
התגובה האינדוקטיבית (XL) והתגובה הקיבולית (XC) הםשווה והפך:

אז הםבטל אחד את השני, והעכבה המוחלטת של המעגל הופכתמִינִימוּם(התנגדות גרידא):

הזרם IIIבמעגל מגיע אליומַקסִימוּם:

המתח על הקבלהוא:

מכיוון III גדול ו- xc =1/(2πfc), ה- VC שהתקבל יכול להיותהרבה יותר גבוהמאשר מתח האספקה .
דוּגמָה:

מתח הקבל הוא628 Vבעוד שהמקור הוא בלבד100 V!
הערות חשובות:
מתח גבוה זה נקראהגדלת מתח.
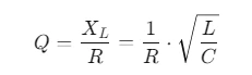
ככל שה-גורם ששל המעגל (התנגדות נמוכה), ככל שההגדלה גדולה יותר:

זה שימושי ביישומים כמו כוונון רדיו, אבל במערכות כוח, זה יכול לגרום להתמוטטות בידוד אם לא נשלטת .
תַקצִיר:
| מַצָב | התנהגות VCV _ CVC |
|---|---|
| בתהודה | גדול מאוד (עשוי לעלות על מתח המקור) |
| לְנַמֵק | הזרם הוא מקסימלי ו- VC=i⋅xcv _ c=i \\ cdot x _ cvc=i⋅xc |
| נשלט על ידי | גורם Q מעגל ומשרעת מקור |




